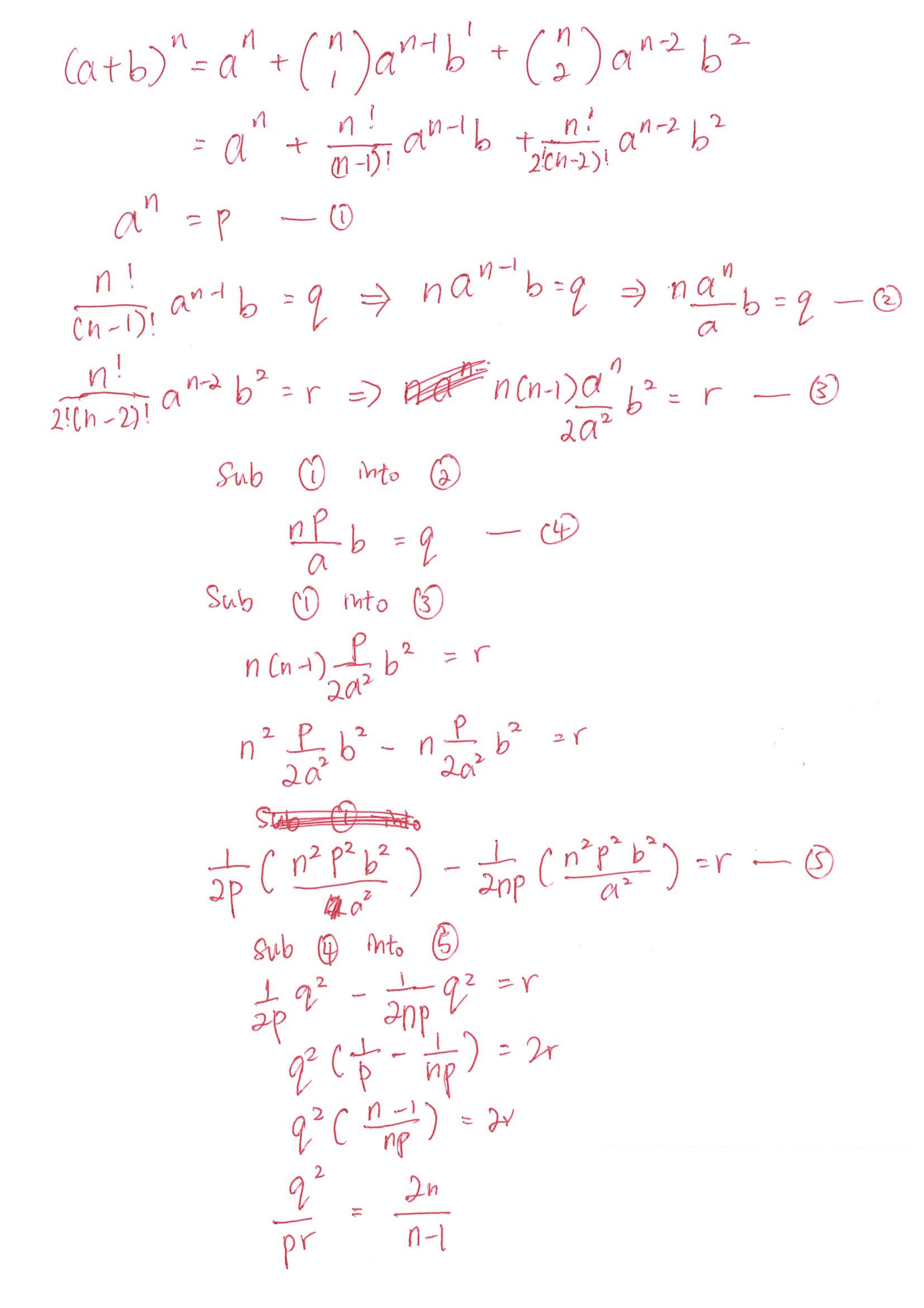
Question is from our Y4 Tutorial for binomial theorem. As you can see, this question is a great test on comparing the first three terms of binomial, as it contains concepts on factorials, power, simultaneous equation, and factorization. Take some time to read through the solutions.
I hope this has been helpful to your revision, and good luck for your exams
If you are interested in IP Maths tuition, contact me at 88765498. Stay tuned for more updates on tough IP style Maths questions.

